数学・科学・工学に関連する話題を提供している人のためのブロググループです。
はてなブログを持っていれば、誰でも参加できます。
前置き 最近久々に自分のPCのWndows Updateの画面を確認したら以下のようなメッセージが表示されていました。 お使いのデバイスには、重要なセキュリティ更新プログラムが適用されていません。更新を完了できるように、デバイスを電源に接続してオンにしたままにしてください スクショ画像 「更新プログラムのチェック」を押しても何か更新が走るのですがこの表示は変わりません。 ちょっと気になってWino…
今日は第32回日曜数学会に参加しました。 live.nicovideo.jp 僕は「ルービックキューブをコンピュータで解く考え方」というタイトルでLTをしました。 www.docswell.com コンピュータで解くといっても探索アルゴリズムの話ではなくて、基本的な発想について群論の言葉で話しました。部分群の系列を考えるというのが、ひとつのポイントです。 また、紹介したコシエンバのTwo Phas…
少し癖がある実戦的な問題をXで毎日更新している1日1問。 記念すべき1日目は定積分で表された関数の定積分です。 「積分区間に変数xを含むときの対処法」「隠された逆関数」という視点から2つの解法を紹介します。 過去の記事とも関連があるのでそちらも紹介します。 問題 解答 解説 「1日1問つくる会」とは? リンク 問題 1日目【定積分で表された関数と逆関数の積分】 解答 解説 【解答1】では、定積分で…
阿部楽方氏は1991年に数理科学誌で正方形分割224魔方陣を発表した [1] ということをたまに耳にするが、ウェブ上では魔方陣の全体図を探しても見つからなかったため調べて作成した。せっかくなので記録に残しておく。 正方形分割224魔方陣は、全体が の魔方陣である。面白い特徴に、全体が21個の異なるサイズの正方形で分割され、各領域においても魔方陣の性質を満たす。 正方形を異なる大きさの正方形で分割す…
えーDr.STONEの宝島編で登場したインカム。 コイルと石(黄鉄鉱や十円玉)、ロッシェル塩で構成されている千空製のインカム。これを作りたい!! 1.コイルについて 2.石について 3.ロッシェル塩をつくる 4.完成 1.コイルについて 千空先生は仕組みとしては鉱石ラジオと言っていましたね。ではラジオの中でのコイルの役割とは?コイルの役割としては電波送受信や同調回路の役割があります。電波送受信では…
朝の6時起床。 おにぎりとベーコンとうすいえんどうとイチゴ。 イチゴ(あまおう)を間違えて冷凍室に入れるという失態。 しかし、次男はこのいちごシャーベットみたいと言って喜んで食べている。 6時半に自宅を出発。朝の6時起床 おにぎりとベーコンとうすいえんどうとイチゴ。 イチゴ(あまおう)を間違えて冷凍室に入れるという失態。 しかし、次男はこのいちごシャーベットみたいと言って喜んで食べている。 6時半…
サンヨーのスピーカー このオーディオのスピーカーは、セカンドストリートで900円でした。 なんか、すごく音がいいと思うんです。有名オーディオメーカーよりも。サンヨーをネットで探しても、情報があまり得られなく、よく分かりません。サンヨーのオーディオは、昔 どのような評価だったんでしょうか?知ってる人がいたら教えてください。 ランキング参加中数学・科学・工学
※本記事の作成には慎重を期しておりますが、演算結果を保証するものではありません。特に、結果は本記事のパラメータにより大きく変わります。 住宅ローンを組むときに、手持ち資金を頭金するのが良いのか、頭金にせずに投資して資産運用するのが良いのかは、悩ましい問題であり、難しい問題です。本記事では、それを数式で表して比較してみます。 結論 導出 A) 毎月の返済額が分かっている場合 A-1) 手持ち資金を全…
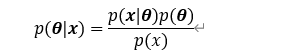
ギャンブラーの誤謬 主観確率と客観確率 ベイズの定理と事前分布まで ベイズの定理は次式で表される。 ここで、θはパラメータベクトル、xは観測値ベクトルとする。p(θ)は事前分布といい、θの信念の度合いを示す。ベイズ統計では、事前確率のことを信念の度合いまたは主観確率と表現する。主観確率とは過去に観測したデータを用いたり、適当な関数を置くことが可能である。これはあくまで「信念の分布」であることから主…
次のページ